ประกันบำนาญ FWD (เอฟดับบลิวดี) แซฟวี เพนชัน 90/60

ประกันบำนาญ FWD (เอฟดับบลิวดี) แซฟวี เพนชัน 90/60

           เตรียมพร้อมเกษียณด้วยประกันบำนาญ รับเงินคืนเพิ่มขึ้นสูงถึง 28% ในช่วงบั้นปลายชีวิต คุ้มครองยาวถึงอายุ 90 ปี วางแผนการเกษียณพร้อมนำเบี้ยประกันไปลดหย่อนภาษีได้สูงสุดถึง 300,000 บาท

ประกันบำนาญ FWD แซฟวี เพนชัน 90/60

จุดเด่นแผนประกัน ⭐️

  • ชำระเบี้ยถึงอายุ 60 ปี คุ้มครองยาวถึงอายุ 90 ปี

    เริ่มรับเงินบำนาญตอนอายุ 60 ปี

  • รับเงินบำนาญ 16% ของจำนวนเงินเอาประกันภัย (ทุนประกัน) ตั้งแต่อายุ 60 - 69

  • รับเงินบำนาญ 22% ของจำนวนเงินเอาประกันภัย (ทุนประกัน) ตั้งแต่อายุ 70 - 79

  • รับเงินบำนาญ 28% ของจำนวนเงินเอาประกันภัย (ทุนประกัน) ตั้งแต่อายุ 80 - 90

  • ช่วงก่อนรับเงินบำนาญ คุ้มครองชีวิต 110% ของเบี้ยประกันที่ชำระมาทั้งหมด

    หรือมูลค่าเวนคืน แล้วแต่จำนวนใดจะมากกว่า

  • เสียชีวิตช่วงรับเงินบำนาญ

    จะจ่ายเบี้ยที่ชำระมาแล้ว - เงินบำนาญที่รับไปแล้ว หรือมูลค่าปัจจุบันของจำนวนเงินบำนาญที่ยังไม่ได้จ่าย จนครบ 15 ปี แล้วแต่จำนวนใดจะมากกว่า

  • เบี้ยประกันใช้ลดหย่อนภาษีได้สูงสุดถึง 300,000 บาท

    ตามหลักเกณฑ์และเงื่อนไขของกรมสรรพากรเกี่ยวกับภาษีเงินได้ฉบับที่ 172 ,194

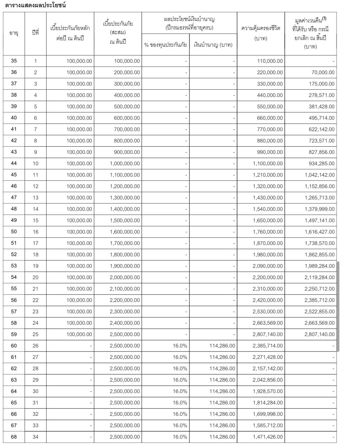
✏️ ตัวอย่างผลประโยชน์ที่ได้รับ

ผู้หญิง อายุ 35 ปี ทำแผนประกันบำนาญ แซฟวี เพนชัน 90/60 อยากให้เบี้ยประกัน 100,000 บาทต่อปี เพื่อความสะดวกในการนำไปคำนวนลดหย่อนภาษี

  •  ชำระเบี้ยประกันปีละ 100,000 บาท 
  • นำเบี้ยประกันไปใช้ลดหย่อนภาษีได้ตามฐานภาษีแต่ละบุคคล
  • ได้รับจำนวนเงินเอาประกันภัย (ทุนประกัน/วงเงินคุ้มครอง) จำนวน 714,285 บาท

ตัวอย่าง : สรุปผลประโยชน์ตลอดสัญญา

ประกันบำนาญ FWD แซฟวี เพนชัน 90/60 อายุ 35 หญิง
ประกันบำนาญ FWD แซฟวี เพนชัน 90/60 อายุ 35 หญิง
ประกันบำนาญ FWD แซฟวี เพนชัน 90/60 อายุ 35 หญิง

เงื่อนไขรับประกัน ✅

  • อายุรับประกัน : 20 – 55 ปี
  • จำนวนเงินเอาประกันภัยขั้นต่ำ  : 100,000 บาท
  • การพิจารณารับประกันภัยเป็นไปตามหลักเกณฑ์ของบริษัทฯ

หมายเหตุ

  • ผู้ซื้อควรทำความเข้าใจในรายละเอียดความคุ้มครอง และเงื่อนไขก่อนตัดสินใจทำประกันภัยทุกครั้ง
  • หลักเกณฑ์การตรวจสุขภาพ เงื่อนไขการรับประกัน และอัตราเบี้ยประกันเป็นไปตามที่บริษัทฯกำหนด
  • รับประกันภัยโดย บริษัท เอฟดับบลิวดี ประกันชีวิต จำกัด (มหาชน)